简述:
1)有风载荷作用时,立柱顶端最大偏移量δw=720mm,大约为立柱高度矗的1.41%;
2)无风载荷作用时,立柱顶端最大偏移量δc=472mm,大约为立柱高度矗的0.92%;
3)立柱顶端偏移量艿。与力矩嵫呈线性正比关系;随着力矩的增大,偏移量也随之增大;
4)立柱顶端偏移量艿。与轴向力Q呈非线性关系;随着轴向力的增大,偏移量也随之增大。
为保证液压顶升平桥平稳工作,建议采取附着技术,方可保证安全施工。
1、引言
液压顶升平桥…广泛用于冷却塔施工,最低高度达50多m:液压顶升平桥的立柱(或塔身)是关键的结构件,其挠度既影响整机强度,又影响其稳定性。立柱在不平衡的自重、活动荷重、风载荷与动载荷作用下会弯曲,产生更大的变形,使弯矩增大。因此如何正确计算液压顶升平桥顶部的最大变形位移,是保证安全施工的重要因素,也是采取有关措施的依据。
2、梁一柱的挠度曲线
2.1有风载荷时梁一柱的挠度曲线
立柱的弹性变形是白于载荷偏心造成的。如在有风状态下,绕起重机中心线的净力矩Me,轴向力Q;风载荷:认为回转部以上受风面积的风力W为集中力并作用在回转部,高出冷却塔部分的立柱风载荷为w,高出冷却塔部分(与坐标原点距离,可视为定值)的长度为x1。液压顶升平桥的弹性变形计算模型如图1所示。

假设条件:①平桥2、塔机3及基础5均视为刚性体;②立柱1视为弹性体并为等截面。
立柱的力学表现类似悬臂梁,属于梁一柱构件。根据弹性稳定原理,其基本表达式为:

顶端的力矩为:
故挠度曲线为:
令k2=Q/E1,计算得

相对于基座,即立柱固定端的最大偏移量z(h)=δw。,则

2.2无风载荷时梁一柱的挠度曲线
如在无风状态下,绕起重机中心线的净力矩Mc,轴向力Q。顶端的力矩为

故挠度曲线为

仍令k2=Q/EI,得梁一柱构件任意一点的弹性偏移量计算式为

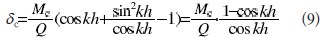
相对于基座,即立柱固定端的最大偏移量z(h)=δc。,则

2.3实例计算
YDQ型25.6tm液压顶升平桥工作时,其载荷为顶端不平衡力矩Mc=789.55kNm,承受轴向力Q=172.64kN,桥身均布风载荷为w=0.3696kN/m,水平风力W=12.62kN;平桥的高度h=51.15m,平桥顶端距冷却塔顶部的距离x1=14.15m;弹性模量E=200GPa,立柱惯性矩/=1.33×10-2IT14,水平静位移AL≤1.34h/100,求其顶端的偏移量。
中间参量计算得:k=8.1×10-3m-1,sinkh=0.4026.coskh=0.9154.tankh=0.4398.
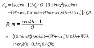
1)育风条件下顶部的最大偏移量aw若在有风条件下,将已知参数和上述计算结果代人方程(5)中,可求得顶部的最大偏移量aw-0.7194m>[A/]=1.34h/100=0.6905m.
2)无风条件下顶部的最大偏移量δc。若在无风条件下,将已知参数和相关计算结果代入方程(9)中,可求得最大偏移量δc=0.4718m。
由上述计算可以得出:有风载荷作用时,立柱顶端最大偏移量δw。大约为立柱高度h的1.41%;无风载荷作用时,立柱顶端最大偏移量δc。大约为立柱高度h的0.92%。
3)有风条件下最大偏移量δw与Mc的关系由式(5)可知

如k、h、Q、w、X1均为常量,则m、n为常量;δw=mMc+n。
由此可见,δw与Mc呈线性正比关系,如图2a所示。
4)有风条件下最大偏移量δw与Q昀关系由式(5)可知

从上式可以得出:δw与Q为非线性关系,如图2(b)所示。

扫一扫咨询微信客服