进水塔施工阐述
进水塔施工期的ANSYS仿真分析,可得出混凝土施工期温度场及温度应力变化的规律:
(1)施工期混凝土早期温度上升很快。最大温升一般出现在其浇筑后的第3-4d,为29.934℃。其后湿度逐渐下降,到30d时,基本达到室温.
(2)施工期混凝土温度应力随着温差的增大而增大,各测点最大温度应力出现时刻与最大温差时刻基本一致.最大温度应力为1.68MPa。出现在新老浇筑层接触面。由浇筑时产生的瞬时温差引起.
(3)施工期最大温度应力没有超过混凝土极限拉应力,说明施工过程中采用的养护措施是合理有效的.同时。在施工过程中要格外注意新老接触面的温度应力问题,尤其是在新老混凝土层间歇较长时间时,应该对老混凝土层进行相应处理.
太体积混凝土己在土木水利工程中得到广泛应用,其温控和防裂问题是设计及施工时需要解决的重要问题。对于重要工程中的大体积混凝土。除需用规范方法进行计算外,通常还需用有限元法进行校核.
河南省燕山水库位于淮河支流沙颍河主要支流澧河上游干江河上。是淮河流域的防洪骨干工程之一,在河南省“2001-2010年水利发展规划”中被确定为重点工程.燕山水库进水塔进水高程89m,结构型式为边长6m正四边形有压洞,塔顶高程12lm,塔高34.5m.进水口底板长25m,宽10.6m。厚2.5m.进水塔施工期温度分析涉及温度场计算和徐变应力计算两个方面。计算时需处理一系列问题,包括分层浇筑和动态边界模拟,水化热的模拟,动态弹模、混凝土自生体积变形及徐变应力的计算等,应用ANSYS软件,通过二次开发来模拟进水塔施工期复杂的施工过程,得出了其温度场和温度应力变化规律。对下一阶段施工具有重要的指导意义.
1、进水塔施工期温度场分析
1.1进水塔施工期计算模拟方案
文章根据进水塔施工方案进行仿真计算,具体计算模拟方案见表1.

1.2进水塔建模
由于该文研究的进水塔内部结构较为复杂的模型,直接在ANSYS中建模十分困难.因此笔者首先用机械三维CAD软件SolidWorks建模,然后利用ANSYS接口工具导入ANSYS中进行分析‘.模型如图1所示.

1.3温度场求解原理
1.3.1瞬态热传导方程
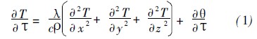
温度场计算。是基于三维瞬态热传导方程

式中,入为导热系数(kJ·m-1·h-1·℃-1);c为比热容(kJ·kg-1.℃-1);p为容重(蚝.m-3);T为时间(h);θ为混凝土的绝热温升(℃).
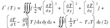
根据热传导方程及变分原理,三维非稳定温度场问题的有限元求解可取如下泛函I(T)

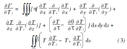
式中,△R为单元e所包含的子域;丁为温度;T为混凝土龄期;△C为在表面C上的面积,只会出现在边界单元;β为放热系数;Ta为外界气温.由式(2)在积分号内求微分。得到

根据泛函实现极值的条件,有
![]()
在每个节点由,都建有一个式(3)确定的方程,联立求解这个方程组。即可求出所有节点的温度.
1.3.2初始条件及边界条件
初始条件为在物体内部初始瞬间温度场的分布规律,计算选取混凝土浇筑温度恒定为10℃.
水泥水化热采用指数公式
Q(t)=71610×[1-exp(-0.36×day)]
边界条件包括周围介质与混凝土表面相互作用的规律及物体的几何形状,共包含3类,当混凝土与空气接触时,表面热流量与混凝土表面温度丁和气温丁。之差成正比。即

式中,β为放热系数,kj/(m2·h·℃).
施工中每层混凝土浇筑后侧面不拆模,上表面采用稻草麦秆铺盖。并定时散水养护.当考虑混凝土外表面用钢模板及稻草麦秆铺盖时以放热系数折减等效处理。见表2.

根据当地施工期气温变化拟合出温度变化曲线,

1.4进水塔施工期温度场ANSYS分析结果
为更好的说明施工期进水塔混凝土温度变化情况,在底板以上竖井部分,每一浇筑层各选取1个特征点,绘出其温度变化情况,特征点坐标殁最高温度见表3.

施工期最高温度等值线图和特征点温度变化及气温变化曲线如图2-3所示,

进水塔施丁期最高温度等值线网
由图2知:进水塔施工期最高温度29.934℃,发生在总浇筑期的第206d。即最顶层浇筑后的第4d.由图3知,进水塔竖井部分每层混凝土均在其浇筑初期3-4d即达到最大温度,其后温度逐渐降低,逐渐接近气温变化,特征点8,坐标(5,34.5,16.632),为浇筑计算期温度最高的点。温度达到29.934℃.特征点4,坐标(5,16.04,8.632),为温差最大的点,最大温差23.534℃.
2、进水塔施工期温度应力分析
结构在加热或者冷却时。会发生膨胀或收缩.如果结构中各部分由于约束的作用导致膨胀与收缩不一样,就会产生温度应力.
2.1计算参数选取
混凝土相关参数见表4.

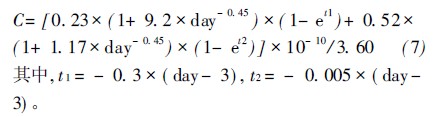
考虑进水塔混凝土的水泥品种、骨料品种、水灰比、外加剂、粉煤灰等因素,对混凝土徐变效应,采用了以下徐变度公式

当tl<-80时,取tl=-80,当t2<-80Ht,取t2=-80,不考虑混凝土徐变效应模量公式

考虑混凝土的徐变的影响,采用等效的混凝土弹性模量公式:E=Ei/(1+Ei×C).
2.2进水塔施工期温度应力ANSYS分析结果
同样在底板以上竖井部分,每一浇筑层各选取1个特征点,特征点编号与坐标同温度场,观察其温度应力变化情况,特征点坐标及最大温度应力如表5所示,其中特征点1为最大温度应力点,坐标(8,10.8,7.632).

施工期最高温度应力等值线图和特征点温度应力变化及混凝土极限拉应力变化曲线如图4-5所示。

图5中,混凝土极限拉应力计算采用以下公式

由图4知:进水塔施工期最大拉应力为1.68MPa发生在总浇筑期的第90d,即第3层混凝土浇筑养护结束,第4层混凝土刚刚开始浇筑时.由图5可知,进水塔在施工期,特征点1(曲线S1_9)温度应力最大,达到1.68MPa,发生在本浇筑层浇筑后的第40df总施工期的第90d).从坐标上看,它处于进水塔混凝土第3层和第4层接触面,最大温度应力产生于第3层混凝土浇筑养护完毕,第4层混凝土开始浇筑时.因此可以判断。特征点1的最大温度应力是由于上层混凝土浇筑时上下两层混凝土瞬时温差产生,在图5中,S1—10曲线表示混凝土极限拉应力随龄期的变化曲线,由图比较可知,进水塔施工期特征点温度应力均小于混凝土极限拉应力.因此可知。进水塔在施工期不会出现温度裂缝.
扫一扫咨询微信客服