1 引言
一个可靠的、比较准确的有限元分析模型是烟囱结构抗风、抗震评估与预测以及损伤识别、健康诊断的基础。然而,大多数有限元模型是根据结构设计图纸建立的,其中隐含了较多的不确定性因素和理想化假定、简化。误差的引入使有限元模型计算的结构动力特性和动力响应往往与现场实测结果之间不可避免地存在一定偏差,如果这种偏差超出工程中所允许的精度,就需要对有限元模型进行修正。根据修正对象的不同,有限元模型修正又可分为矩阵型法和设计参数型法两大类[1-3]。设计参数型法则是直接对结构设计参数进行修正,如构件的截面抵抗矩、材料的弹性模量、密度等,其结果具有明确的物理意义,便于实际结构分析计算,并与其他优化设计过程兼容,是目前最适合工程应用的一种模型修正法。宋汉文等认为,支座和连接点的过分简化(刚性或铰接、无摩擦)对系统动力学模型所造成的影响,要比在其主要部件中由几何参数、质量、刚度分布上存在的轻微误差所造成的影响大的多[4]。因此,对烟囱结构的部分连接节点采用半刚性计算模型,并对这些节点的初始刚度进行识别修正。
本研究根据实测的模态振动数据,采用灵敏度分析和优化方法对华能金陵电厂二期自立式钢结构烟囱风洞试验模型进行模型修正,其结果为烟囱结构抗风、抗震评估与预测以及损伤识别、健康诊断提供了一定的依据。
2 有限元模型修正方法
本文将有限元模型计算频率与试验模型测量频率的相对误差作为目标函数,其前六阶固有频率和值作为状态变量,有限元建模中一些不确定的参数作为设计变量。运用有限元软件对异形钢结构烟囱建立参数化模型,先计算目标函数和状态变量对设计变量的灵敏度,然后优选出灵敏度较高的设计变量,并采用合适的优化方法进行优化迭代,最后得到较为精确的有限元模型。
2. 1 灵敏度分析
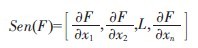
灵敏度分析是分析目标函数或状态函数F(x1,x2,L,xn)对设计变量X=[x1,x2,L,xn],其中xiL xi xiU(i=1,2,L,n)变化的敏感程度。灵敏度定义为
![]()
在结构模型修正中,F 可以代表任何动态特性,x1 一般代表物理参数,亦可表示结构参数(几何尺寸、材料性质等)。本研究中,通过灵敏度分析选择合适的优化变量,以简化设计问题。
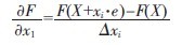
有限元软件中的梯度评估工具(GradientEvaluation Tool)可以进行灵敏度分析,求导的计算用计算差商来代替,即灵敏度
![]()
式中,e 为n 维单位向量,在i 位置为1,在其它位置为0;Δxi 为设计参数xi 的变化。
2. 2 优化设计方法
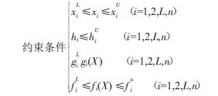
模型修正问题一般可表述为如下优化约束问题。目标minF(x1,x2,L,xn)

在有限元软件中,上述优化约束问题将被转化为量纲为一、无约束的单目标优化问题。有两种优化方法可以选用:零阶方法和一阶方法。由于该烟囱模型修正的设计变量数目较多,为得到较高精度的修正结果,依据文献[5]的建议,本文采用一阶优化方法修正该烟囱有限元模型。
3 烟囱试验模型的动力特性
该异形钢结构烟囱位于南京市郊区,设计高度为240m,风洞试验模型采用比例为1∶120 的缩比模型,如图1 所示。本研究的修正对象即为风洞试验模型的有限元模型。基于灵敏度分析和优化方法的异形钢结构烟囱模型修正

烟囱试验模型的模态参数测试:采用锤击法测量模型的模态参数。在模型的排烟筒上自上而下选取9 个位置布置加速度传感器,采用跑激励点的方法,分别测量两个水平方向的频率响应函数。模态参数识别结果如表1 所示。
有限元的建模:有限元分析时,烟囱的排烟筒视

为柱面壳体结构,利用shell93 建模;钢架部分视为空间杆系结构,利用beam188 建模;部分连接节点采用半刚性计算模型,利用combin39 建模[6][7],由于是在弹性阶段的分析,所以只能识别出半刚性节点的初始刚度。半刚性连接节点的选取如下:
1)弦杆与主腹杆间的连接;
2)排筒与主腹杆间的连接;
3)弦杆变节面处的连接;
4)弦杆与弦杆间的连接。有限元模型如图2 所示。
4 烟囱结构的模型修正
4. 1 优化模型的建立
选取有限元模型的不精确因素[8][9] 作为设计变量。在烟囱模型的结构参数中,杆件的长度、截面尺寸在此处视为定值;材料的弹性模量、密度并未经过试验测定,因此取为设计变量;各个半刚性节点的初始刚度也作为设计变量。为了选择合理的变量、提高优化修正的效率,首先对以上结构参数进行灵敏度分析(由于篇幅有限,仅列出特征值灵敏度分析结果,见图3),然后排除非敏感参数,确定了待修正参数组成的设计变量序列:
X= {E_iron,E_copper,D_iron,D_copper,K_01,K-02,L,K-11}
共选取设计变量15 个,式中的K_01,K_02,L,K_11 即为所选取的半刚性节点的初始刚度。状态变量:综合运用动力特征值和特征向量作为约束条件,以此来保证修正后的有限元模型的频


计算所涉及的单位均为国际单位制,几何尺寸采用米(m),力的单位采用牛(N)。
4. 2 优化结果
使用一阶方法进行优化,目标函数收敛容差设为0.1。初始迭代步设定为100 步,实际收敛于8 步。为了检验优化结果是否是全局最优解采用一组新的设计序列重复上述的计算,结果表明,两结果很相近。第七阶频率的试验值为114Hz,修正后的有限元模型的计算值为103.66Hz,误差为9.07%。由上可认为该结果即为全局最优解。优化结果见表2。

由表2 可知,模型修正前模态频率的误差较大,有三阶模态频率的误差超过10%,其中第一阶频率的误差更是达到15.81%。模型修正后,各阶自振频率在总体上更加接近测试值,误差最大的第一阶频率为8.06%。此外,由于优化的目标为各阶误差的和最小,因此,在误差总量减小的前提下,个别阶次的误差还会在限制范围内略有增大(如f 2)。模型修正前的振型相关性已经很好,各阶振型都在80%以上,所以修正后的振型相关性改善较小,但它证明了修正后的有限元模型的振型与试验振型依然有很好的相关性。
5 结论
1)灵敏度分析和一阶优化方法的联合使用可以有效地修正异形烟囱结构的动力有限元模型,为其抗风、抗震计算及健康监测提供可靠的有限元计算模型。
2)结构构件间的连接常常不可以近似为刚接或铰接,这样会导致分析误差过大。当采用半刚性连接节点形式时,半刚性连接节点的初始刚度可以采用模型修正方法识别。

